Algebraische Notation
- Filter verwalten
- Filtereinstellungen
- Auto-Verlinkung der Aktivitätsnamen
- Algebraische Notation
- URL als Link oder Bild anzeigen
- Auto-Verlinkung zu Datenbanken
- Emoticon als Bild anzeigen
- H5P anzeigen
- E-Mail-Absicherung
- Auto-Verlinkung zu Glossaren
- HTML Prüfung
- MathJax
- Multimedia-Plugins
- Mehrsprachiger Inhalt
- TeX-Notation
- Wortzensur
- Filter FAQ
Moodle besitzt einen hervorragenden Algebra-Filter, mit dem man sehr einfach mathematische Ausdrücke in ihrer klassischen Schreibweise darstellen kann.
Als Administrator/in können Sie den Filter über den Menupunkt Website-Administration (oder im Block Einstellungen > Website-Administration) > Plugins > Filter > Übersicht aktivieren.
Hinweis: Beachten Sie, dass gleichzeitig der TeX-Filter auf Ihrer Moodle-Site funktionieren muss. Der Algebra-Filter wandelt nämlich mathematische Ausdrücke in TeX-Syntax um, die dann vom TeX-Filter dargestellt wird.
Der Algebra-Filter akzeptiert mathematische Ausdrücke in der Form, wie man sie z.B. auch in einen Taschenrechner oder eine Tabellenkalkulation eingibt und gibt sie so aus, wie man sie gewöhnlich schreibt oder in einem Mathematik-Buch findet. Dazu müssen die Ausdrücke lediglich in doppelte @ - Zeichen eingebunden sein.
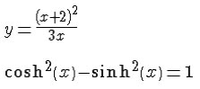
Beispiel:
@@y=(x+2)^2/(3x)@@
@@cosh(x,2)-sinh(x,2)=1@@
In Moodle würden diese Formeln dann so aussehen:
Bei komplizierteren Ausdrücken kann der Algebra-Filter jedoch nicht mit dem TeX-Filter mithalten, mit dem man beliebige mathematische Ausdrücke darstellen kann. Allerdings ist die Syntax bei TeX auch viel komplizierter. Nähere Informationen finden Sie auf dieser Übersichtsseite zur TeX-Notation.
Siehe auch
- Mathematics tools forum - Diskussionsforum im Kurs Using Moodle auf moodle.org
- [1] - Diskussionsbeitrag im Kurs Using Moodle auf moodle.org
- [2] - Diskussionsbeitrag im Kurs Using Moodle auf moodle.org
- Moodle Glossare für mathematische Ausdrücke
- http://webwork.math.rochester.edu/docs/docs/pglanguage/availableFunctions.html
- http://webwork.maa.org/wiki/Mathematical_notation_recognized_by_WeBWorK
